Хостинг и техническая поддержка -- компания Маглан
автоклуб M49

Здравствуйте, гость ( Вход | Регистрация )

 
Ответить в данную темуНачать новую тему
Пьяные за рулём в других странах., А какие у них наказания?
Aurelius
сообщение 30.6.2010, 19:28
Сообщение #1


Группа: Активный участник
Сообщений: 8046
Спасибо: 4387

Авто: Toyota Verso 2010



В Великобритании был пойман самый пьяный водитель за всю историю существования дорожной полиции этого государства. Что ждет любителя выпить за рулем на родине? Как борются с пьяными автомобилистами в других странах?

Говоря об английском рекордсмене, заметим, что в выдыхаемом водителем воздухе было зафиксировано 1,91 промилле! Для сравнения, в России можно ездить за рулем, если в выдыхаемом воздухе содержится не более 0,15 промилле этилового спирта. Англичанин объяснил служителям закона, что он хорошо посидел в баре, где умудрился выпить… 8,5 литров крепкого темного пива. В России за подобное нарушение пивной гурман лишился бы прав на 1,5-2 года. В Китае дело могло закончиться гораздо плачевнее – даже расстрелом. Впрочем, обо всем по порядку.

Великобритания. В зависимости от степени опьянения водителя оштрафуют на 5000 фунтов стерлингов (240 тыс. руб.) и начислят от 3 до 11 штрафных баллов из 12 возможных.

Германия. В Германии пьяному водителю, попавшему в аварию, грозит либо большой штраф, либо тюремное заключение.

Израиль. За вождение в нетрезвом виде водитель лишается прав минимум на 2 года при условии, что нет смягчающих обстоятельств. Если годом раньше автомобилист попадался за вождение в нетрезвом виде, то срок лишения его прав может доходить до 4 лет, либо дело обернется штрафом в несколько тысяч шекелей (1000 шекелей – около 7900 руб.) и лишением свободы.

Италия. Подвыпившим водителям непременно выпишут штраф в размере 6000 евро (256 тыс. руб.) и отправят на общественные работы продолжительностью от 6 до 12 месяцев, а особо отличившимся грозит арест. Помимо перечисленного, обязательным является лишение водительского удостоверения на 1-2 года. strong>Китай. Методы борьбы с проштрафившимися водителями довольно интересны: нарушитель получает взыскание по партийной линии, а жителей Шанхая могут выселить в менее благополучные регионы Поднебесной. Особо отличившихся нарушителей может ждать и высшая мера наказания – казнь. Но применяются и более привычные европейцам способы наказания: от штрафа в размере 2 тыс. юаней (9 тыс. руб.), что превышает месячную зарплату большинства китайцев, до полугодового лишения свободы.

США. Пьяный водитель рискует провести за решеткой от 48 часов до 6 месяцев. Причем в этом правиле нет исключений для звезд и политиков – многие богатые и знаменитые американцы вынуждены были отправиться за решетку.

Россия. Пойманному нарушителю грозит лишение прав на 1,5-2 года. Если в период лишения водитель снова сядет за руль нетрезвым, его могут или оштрафовать на 5000 руб., или арестовать на срок до 15 суток. При этом срок лишения увеличится до 3 лет!


Франция. Максимальный штраф нетрезвому автомобилисту – 4500 евро (192 тыс. руб.) – сопоставим с месячным доходом большинства французов. Также нарушитель получит 6 штрафных баллов из 14 возможных.

Швеция. Нарушитель лишается возможности управлять автомобилем на 3 года, а также получает штраф, величина которого… зависит от доходов водителя! Поэтому некоторым любителям выпить за рулем приходится выплачивать шестизначные суммы.

Япония. Японским водителям, пойманным в состоянии алкогольного опьянения, приходится несладко. Пьяницу могут наказать не только штрафом в размере до 1 млн йен (330 тыс. руб.), но и лишением свободы на срок до 5 лет. Обязательное условие – начисление штрафных баллов или лишение водительского удостоверения.
Алексей Кованов

autoban.km.ru/Magazin.aspx?idUrl=1225d89d-1e3e-4530-ae79-5bca2cd70054
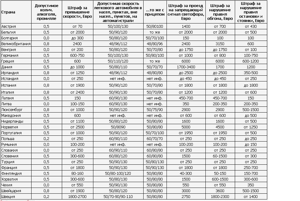
И для итога еще одна довольно интересная таблица, конечно может цифры кажутся астрономическими, но и доходы у них повыше…


Михаил Алексеев, автомобильный журналист
www.vashamashina.ru/worldshtraf.html


Взял ссылка доступна только зарегистрированным


Эскизы прикрепленных изображений
Прикрепленное изображение
 


--------------------
Переходи на темную сторону!
Спасибо! — DarkSky Filmor MIB
Перейти в начало страницы
 
+
gesel
сообщение 2.7.2010, 16:11
Сообщение #2


Группа: Активный участник
Сообщений: 1872
Спасибо: 3180




Главный автоинспектор России предложил лишать пьяных водителей прав пожизненно

Начальник ГИБДД МВД России Виктор Кирьянов предложил пожизненно лишать прав водителей, управляющих автомобилем в нетрезвом виде. Об этом он заявил в эфире радиостанции "ссылка доступна только зарегистрированным".

Причем, как сообщает ссылка доступна только зарегистрированным со ссылкой на слова Кирьянова, соответствующий законопроект скоро будет рассмотрен "законодателями".

Руководитель Госавтоинспекции также добавил, что ранее принятые меры по ужесточению ответственности для пьяных водителей - лишение прав, а также увеличение сроков лишения свободы в случаях, когда нетрезвый водитель причинил вред здоровью других или стал причиной смерти, уже дали результат. По словам Кирьянова, количество ДТП с участием пьяных снизилось на 40 процентов.

Ранее Кирьянов выступал с инициативой лишать наркоманов водительских прав на срок от одного до двух лет или на весь срок их лечения.



--------------------
Имеющий глаза - увидит, имеющий уши - услышит, имеющий мозги - поймёт...

-----------------------------
http://www.niva-club.net/

+7-924-691-06-53
----------------------------
Были:
Москвич-408, 1965 г.в.
ВАЗ-21033, 1982 г.в.
SUZUKI JIMNY, 1998 г.в.
LADA-21214 "Нива", 2011 год - погибла в 2014
УАЗ-ПАТРИОТ, 2011 г.в. - с 2014 г.
Перейти в начало страницы
 
+

Быстрый ответОтветить в данную темуНачать новую тему
1 чел. читают эту тему (гостей: 1, скрытых пользователей: 0)
Пользователей: 0

 



RSS Текстовая версия Сейчас: 5.11.2025, 6:11