Хостинг и техническая поддержка -- компания Маглан
автоклуб M49

Здравствуйте, гость ( Вход | Регистрация )

3 страниц V   1 2 3 >  
Ответить в данную темуНачать новую тему
сломал голову, как это решить?, уравнение за 6 класс...,
Олег 1
сообщение 29.4.2010, 11:11
Сообщение #1


Группа: Активный участник
Сообщений: 5871
Спасибо: 3504




на демотиваторах нашел задачку, типа а слабо решить????
Блин, слабо..., я непомню ка это делать...., чему равен Х???
не, ну если бы вместо + было *.....я ответ знаю..., а тут???
Йа фсе формулы забыл....., люди человеки - помогите, как решить!!!!

Голова, она же не только для того что бы в нее пить и иногда есть))))
Эскизы прикрепленных изображений
Прикрепленное изображение
 


--------------------
А всё таки прав был Кутузов: что бы спасти Россию надо сжечь Москву!!!
Спасибо! — dick
Перейти в начало страницы
 
+
Rasputin
сообщение 29.4.2010, 11:23
Сообщение #2


Группа: Активный участник
Сообщений: 1490
Спасибо: 454




Начало точно такое будет: х4+х2-1=0, а дальше как квадратное. Херово помню (точнее ваще не помню) формулу дискриминанта или как там его, кароче там дальше все просто)))


--------------------
Перейти в начало страницы
 
+
KAMAZ
сообщение 29.4.2010, 11:33
Сообщение #3


Группа: Директор автопарка
Сообщений: 21178
Спасибо: 10100




Рискуя остаться дураком пытаюсь вспомнить математику

переносим еденицу влево. получаем квадратное уравнение
x^4+x^2-1=0
ищем дискриминант он равен 5(?) правильно? Значит у нас будет два ответа

первый 0.62, второй -1.62
итого x^2=0.62, второй вариант не катит т.к. отрицательное число
получаем х=0.79
я дурак? smile.gif



--------------------
89148508740
Спасибо! — Chaser_510
Перейти в начало страницы
 
+
KAMAZ
сообщение 29.4.2010, 11:39
Сообщение #4


Группа: Директор автопарка
Сообщений: 21178
Спасибо: 10100




Дискриминант же Д=B^2-4ac, как у тебя у тебя он 8 равен?


--------------------
89148508740
Перейти в начало страницы
 
+
Олег 1
сообщение 29.4.2010, 11:42
Сообщение #5


Группа: Активный участник
Сообщений: 5871
Спасибо: 3504




мля....для выпускников давних...., что такое дискриминант и как к нему приходить.... йа не помню!!!

ответ я уже нашел..., но я непомню, как к нему приходить.., чуть позже выложу...., блин, мозг тренировать надо

Сообщение отредактировал Олег 1 - 29.4.2010, 11:44


--------------------
А всё таки прав был Кутузов: что бы спасти Россию надо сжечь Москву!!!
Перейти в начало страницы
 
+
Гидр
сообщение 29.4.2010, 11:43
Сообщение #6


Группа: Активный участник
Сообщений: 22292
Спасибо: 18361




y = x^2;
y^2 + y - 1 =0;
(y^2 + 2*1/2 y + 1/4) - 1/4 - 1 = 0;
(y + 1/2)^2 = 5/4
y + 1/2 = +/- корень(5)/2
y_1 = (-1 + корень(5))/2, y_2 = (-1 - корень(5))/2;
y_2 < 0, т.к. y заменял x^2 - откинули.
-1 + корень(5) > 0 => OK,
x = +/- корень(-1+ корень(5)).


--------------------
Разница других исполнителей, которые пытались перепеть эту песню, в том, что они поют как будто идут на войну, а Цой - будто вернулся оттуда.
Спасибо! — Chaser_510
Перейти в начало страницы
 
+
Silent
сообщение 29.4.2010, 11:45
Сообщение #7


Группа: Активный участник
Сообщений: 2553
Спасибо: 573




Как то так:)

ну Олег тебя и мучают вопросы laugh.gif





Эскизы прикрепленных изображений
Прикрепленное изображение
 


--------------------
Mars - 8 914 039 1000.
Спасибо! — Chaser_510 dick Олег 1
Перейти в начало страницы
 
+
exPloZive
сообщение 29.4.2010, 11:47
Сообщение #8


Группа: Активный участник
Сообщений: 3523
Спасибо: 1425

Авто: MARK 2 JZX110 IR-S// Kawasaki SuperSherpa KL250



KAMAZ, дик правильно писал, X в квадрате принимаем за t -- чтобы понизить степень, т.е уйти от 4-й степени и только теперь можно решать дискременантом, находим t1 и t2 и потом подставляем в x^2 = t, чтобы найти x1 и x2.

За вычисления не берусь -т.к. на работе, а Решать надо именно подстановкой.

Или я дурак? smile.gif
Перейти в начало страницы
 
+
Олег 1
сообщение 29.4.2010, 11:50
Сообщение #9


Группа: Активный участник
Сообщений: 5871
Спасибо: 3504




мать моя женшина...., что такое дискриминант?? как к нему подходить?? из чего он выводится???
Сайлент все правильно решил (так в ответе) .... но как ????))))

самим вам бойан в руки))))))

Гидр, мне непонятно твое 3-е действие
y^2 + 2*1/2 y + 1/4) - 1/4 - 1 = 0
ты что на что тут умножив сложил??)))

Сообщение отредактировал Олег 1 - 29.4.2010, 11:51


--------------------
А всё таки прав был Кутузов: что бы спасти Россию надо сжечь Москву!!!
Перейти в начало страницы
 
+
KAMAZ
сообщение 29.4.2010, 11:50
Сообщение #10


Группа: Директор автопарка
Сообщений: 21178
Спасибо: 10100




Цитата(Гидр @ 29.4.2010, 10:43) *
(y^2 + 2*1/2 y + 1/4) - 1/4 - 1 = 0;


эт ты как?


--------------------
89148508740
Спасибо! — dick
Перейти в начало страницы
 
+
dick
сообщение 29.4.2010, 11:51
Сообщение #11


Группа: Активный участник
Сообщений: 1634
Спасибо: 492




Гидр, что употребляем? smile.gif


--------------------
Перейти в начало страницы
 
+
KAMAZ
сообщение 29.4.2010, 11:53
Сообщение #12


Группа: Директор автопарка
Сообщений: 21178
Спасибо: 10100




Цитата(exPloZive @ 29.4.2010, 10:47) ссылка доступна только зарегистрированным
мать моя женшина...., что такое дискриминант?? как к нему подходить?? из чего он выводится???


Дискриминант это такая штука... которая....ээээ..нуууу...аааа.... ЗАБЕЙ КОРОЧЕ smile.gif

Цитата(Silent @ 29.4.2010, 10:45) *
Как то так:)


вот, у нас с тобой ответы сходятся smile.gif


--------------------
89148508740
Перейти в начало страницы
 
+
Гидр
сообщение 29.4.2010, 11:53
Сообщение #13


Группа: Активный участник
Сообщений: 22292
Спасибо: 18361




Я не понимаю, чего вы округляете. Вы уравнение решаете, или подбиваете баланс с округлением до ближайшего миллиона? angry.gif


--------------------
Разница других исполнителей, которые пытались перепеть эту песню, в том, что они поют как будто идут на войну, а Цой - будто вернулся оттуда.
Спасибо! — tpavel
Перейти в начало страницы
 
+
exPloZive
сообщение 29.4.2010, 11:55
Сообщение #14


Группа: Активный участник
Сообщений: 3523
Спасибо: 1425

Авто: MARK 2 JZX110 IR-S// Kawasaki SuperSherpa KL250



Дискреминант= b(квадрат) - 4ac
Перейти в начало страницы
 
+
Олег 1
сообщение 29.4.2010, 11:55
Сообщение #15


Группа: Активный участник
Сообщений: 5871
Спасибо: 3504




щас сложим забьем и взорвем!!! но вначале решим...., Гидр, про миллион пока молчим, как ты сделал 3-е действие???


--------------------
А всё таки прав был Кутузов: что бы спасти Россию надо сжечь Москву!!!
Перейти в начало страницы
 
+
Гидр
сообщение 29.4.2010, 11:55
Сообщение #16


Группа: Активный участник
Сообщений: 22292
Спасибо: 18361




dick, я с большого перепоя, и давно так хреново себя не чувствовал. Башка с утра просто лопалась.

Ту олл. Поясняю своё действие: (y^2 + 2*1/2 y + 1/4) - 1/4 - 1 = 0. Тут прибавлено 1/4 и убавлено. В скобках получается биномчик. То есть полный квадрат. Ну, (a + B) ^2 = a^2 + 2ab + b^2.

Сообщение отредактировал Гидр - 29.4.2010, 11:57


--------------------
Разница других исполнителей, которые пытались перепеть эту песню, в том, что они поют как будто идут на войну, а Цой - будто вернулся оттуда.
Перейти в начало страницы
 
+
KAMAZ
сообщение 29.4.2010, 11:58
Сообщение #17


Группа: Директор автопарка
Сообщений: 21178
Спасибо: 10100




Блин.. мне документы в банк надо сдавать через час.... а я тут с вами... ненавижу вас!!!!

Гидр, ваще взрыв мозга... ты прибавил и вычел 1/4, но откуда коэфициент второй в скобках такой стал?!?!


--------------------
89148508740
Спасибо! — БЯКА
Перейти в начало страницы
 
+
exPloZive
сообщение 29.4.2010, 12:00
Сообщение #18


Группа: Активный участник
Сообщений: 3523
Спасибо: 1425

Авто: MARK 2 JZX110 IR-S// Kawasaki SuperSherpa KL250



Ребята, чё то тут не так! Если мы нахли X? то при подстановке этого Х в исходное уравнение мы должны получить 1=1 ! Где???
Спасибо! — БЯКА
Перейти в начало страницы
 
+
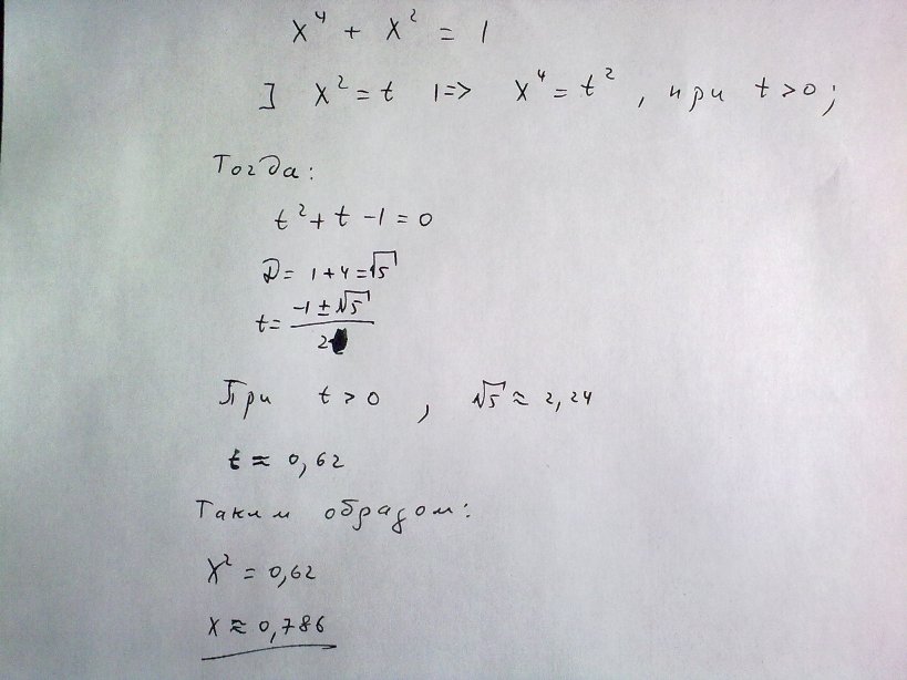
dick
сообщение 29.4.2010, 12:03
Сообщение #19


Группа: Активный участник
Сообщений: 1634
Спасибо: 492




Вот, короче.
Эскизы прикрепленных изображений
Прикрепленное изображение
 


--------------------
Спасибо! — Олег 1
Перейти в начало страницы
 
+
KAMAZ
сообщение 29.4.2010, 12:04
Сообщение #20


Группа: Директор автопарка
Сообщений: 21178
Спасибо: 10100




0.79^4+0.79^2=1 c копейками smile.gif я там сокращал плюс-минус миллион, так что всё нормуль smile.gif


--------------------
89148508740
Спасибо! — dick
Перейти в начало страницы
 
+
Олег 1
сообщение 29.4.2010, 12:04
Сообщение #21


Группа: Активный участник
Сообщений: 5871
Спасибо: 3504




не, тут ответ должен быть в целых дробях, а не десятичных!! , т.е. ответ x=sqrt((1+sqrt5)/2)
а не приблизительно 0,786.
но мне ответ Гидра понравился.... в упор непомню предназначение Дискриминанта, а у него решение смог отследлить)))
респект, больше не пей!!!


--------------------
А всё таки прав был Кутузов: что бы спасти Россию надо сжечь Москву!!!
Перейти в начало страницы
 
+
KAMAZ
сообщение 29.4.2010, 12:05
Сообщение #22


Группа: Директор автопарка
Сообщений: 21178
Спасибо: 10100




Цитата(Олег 1 @ 29.4.2010, 11:04) *
не, тут ответ должен быть в целых дробях, а не десятичных!! , т.е. ответ x=sqrt((1+sqrt5)/2)
а не приблизительно 0,786.
но мне ответ Гидра понравился.... в упор непомню предназначение Дискриминанта, а у него решение смог отследлить)))
респект, больше не пей!!!


да пофигу в каких дробях smile.gif главное мы решили smile.gif а ты - нет smile.gif


--------------------
89148508740
Спасибо! — dick
Перейти в начало страницы
 
+
Олег 1
сообщение 29.4.2010, 12:08
Сообщение #23


Группа: Активный участник
Сообщений: 5871
Спасибо: 3504




ГЫ...., зато на 55 минут занял мозг минимум 20 человек, и все сидят перед мониторами с довольной лыбой)))) главное правильно поставить задачу, так, товарищь Бэрия??))))


--------------------
А всё таки прав был Кутузов: что бы спасти Россию надо сжечь Москву!!!
Спасибо! — dick KAMAZ maldyak
Перейти в начало страницы
 
+
Silent
сообщение 29.4.2010, 12:10
Сообщение #24


Группа: Активный участник
Сообщений: 2553
Спасибо: 573




Цитата(Олег 1 @ 29.4.2010, 12:04) *
не, тут ответ должен быть в целых дробях, а не десятичных!! , т.е. ответ x=sqrt((1+sqrt5)/2)
а не приблизительно 0,786.

Слушай Олег, большое тебе уважение:)

С самого утра, тебе удалось собрать кучу народа, оторвать их от дел, только для того что решить математическую задачу:)


Преподаватели в инстах не знаю как затавить студентов решать задачи, а тут за пол часа тема стала самой популярной laugh.gif



--------------------
Mars - 8 914 039 1000.
Спасибо! — dick
Перейти в начало страницы
 
+
KaRaPuZ
сообщение 29.4.2010, 12:14
Сообщение #25


Группа: Активный участник
Сообщений: 3114
Спасибо: 821




Цитата(Гидр @ 29.4.2010, 11:43) *
y = x^2;
y^2 + y - 1 =0;
(y^2 + 2*1/2 y + 1/4) - 1/4 - 1 = 0;
(y + 1/2)^2 = 5/4
y + 1/2 = +/- корень(5)/2
y_1 = (-1 + корень(5))/2, y_2 = (-1 - корень(5))/2;
y_2 < 0, т.к. y заменял x^2 - откинули.
-1 + корень(5) > 0 => OK,
x = +/- корень(-1+ корень(5)).



Ярик-то не подкачал rolleyes.gif Силёе ещё в нём школьный дух rolleyes.gif Уравнение слабенькое вообще....


--------------------
Перейти в начало страницы
 
+
Олег 1
сообщение 29.4.2010, 12:14
Сообщение #26


Группа: Активный участник
Сообщений: 5871
Спасибо: 3504




Если студент плохо учится -значит плохо работает военкомат.......
я бы вначале каждого месяца звал на 2-х часовую лекцию самого тупого прапорщика из военкомата, с темой типа: "Действия взвода мотострелков при форсировании водных объектов центральной части страны"

успеваемость бы в разы повышалась...., и на девушек эт тоже действеут - не будете учицца, в мужья вот такой прапорщик достанецца!!!


--------------------
А всё таки прав был Кутузов: что бы спасти Россию надо сжечь Москву!!!
Спасибо! — KaRaPuZ
Перейти в начало страницы
 
+
KAMAZ
сообщение 29.4.2010, 12:15
Сообщение #27


Группа: Директор автопарка
Сообщений: 21178
Спасибо: 10100




Цитата(KaRaPuZ @ 29.4.2010, 11:14) *
Ярик-то не подкачал rolleyes.gif Силёе ещё в нём школьный дух rolleyes.gif Уравнение слабенькое вообще....


дык и работа у него соответствующая задачкам ... не то что... ладно


--------------------
89148508740
Перейти в начало страницы
 
+
т158ав_BLONDY
сообщение 29.4.2010, 12:19
Сообщение #28


Группа: Активный участник
Сообщений: 3848
Спасибо: 973

Авто: Honda Prelude // Bentley Continental GT //S.Escudo



если
2 + 3 = 10
7 + 2 = 63
6 + 5 = 66
8 + 4 = 96
То:9 + 7 = ????
Развлекайтесь дальше!


--------------------


30.01.2007 г.

Берегите себя!
Перейти в начало страницы
 
+
Олег 1
сообщение 29.4.2010, 12:22
Сообщение #29


Группа: Активный участник
Сообщений: 5871
Спасибо: 3504




Цитата(т158ав_BLONDY @ 29.4.2010, 11:19) *
если
2 + 3 = 10
7 + 2 = 63
6 + 5 = 66
8 + 4 = 96
То:9 + 7 = ????
Развлекайтесь дальше!


МАМА....пришла Блонди и мозг вскипел!!! это что за новая арифметика????что надо скушать, что бы поверить что 2+3=10????


--------------------
А всё таки прав был Кутузов: что бы спасти Россию надо сжечь Москву!!!
Перейти в начало страницы
 
+
Silent
сообщение 29.4.2010, 12:23
Сообщение #30


Группа: Активный участник
Сообщений: 2553
Спасибо: 573




пойдука я в гараж, а то чувствую я сегодня тут жить останусь laugh.gif

Если что вечером решать буду:)



--------------------
Mars - 8 914 039 1000.
Перейти в начало страницы
 
+
KaRaPuZ
сообщение 29.4.2010, 12:25
Сообщение #31


Группа: Активный участник
Сообщений: 3114
Спасибо: 821




Решаете? rolleyes.gif biggrin.gif



--------------------
Перейти в начало страницы
 
+
т158ав_BLONDY
сообщение 29.4.2010, 12:26
Сообщение #32


Группа: Активный участник
Сообщений: 3848
Спасибо: 973

Авто: Honda Prelude // Bentley Continental GT //S.Escudo



ну написано же- ЕСЛИ, это тоже в какой то мере уравнение =))) пот и подумай, что надо сделать чтобы из 2+3 получилось десять. И при том же условии из 7+2 получилось 63. Дерзай =)))


--------------------


30.01.2007 г.

Берегите себя!
Перейти в начало страницы
 
+
SWETLANA :)
сообщение 29.4.2010, 12:28
Сообщение #33


Группа: Участник
Сообщений: 101
Спасибо: 144




 144 

Сообщение отредактировал SWETLANA :) - 29.4.2010, 12:28


--------------------
О чем ты думаешь? – Прекрати молчать!
Перейти в начало страницы
 
+
т158ав_BLONDY
сообщение 29.4.2010, 12:29
Сообщение #34


Группа: Активный участник
Сообщений: 3848
Спасибо: 973

Авто: Honda Prelude // Bentley Continental GT //S.Escudo



почему то девочки эту задачку очень быстро решают =))))


--------------------


30.01.2007 г.

Берегите себя!
Спасибо! — SWETLANA :)
Перейти в начало страницы
 
+
Silent
сообщение 29.4.2010, 12:29
Сообщение #35


Группа: Активный участник
Сообщений: 2553
Спасибо: 573




Цитата(т158ав_BLONDY @ 29.4.2010, 11:19) *
если
2 + 3 = 10
7 + 2 = 63
6 + 5 = 66
8 + 4 = 96
То:9 + 7 = ????
Развлекайтесь дальше!


мне кажется, что 9 + 7 = 204 или 223 или я дурак laugh.gif


--------------------
Mars - 8 914 039 1000.
Перейти в начало страницы
 
+
т158ав_BLONDY
сообщение 29.4.2010, 12:32
Сообщение #36


Группа: Активный участник
Сообщений: 3848
Спасибо: 973

Авто: Honda Prelude // Bentley Continental GT //S.Escudo



дурак =))))
biggrin.gif
144 правильный ответ=)


--------------------


30.01.2007 г.

Берегите себя!
Спасибо! — Silent
Перейти в начало страницы
 
+
Silent
сообщение 29.4.2010, 12:34
Сообщение #37


Группа: Активный участник
Сообщений: 2553
Спасибо: 573




все надо валить отсюда, а то еще кто нибудь задачку скинет:)


--------------------
Mars - 8 914 039 1000.
Перейти в начало страницы
 
+
Олег 1
сообщение 29.4.2010, 12:42
Сообщение #38


Группа: Активный участник
Сообщений: 5871
Спасибо: 3504




помню, при отборе в армию что то подобное решал в военкомате...., кто не решил, того забрили, кто решил, остались блондинками)))) я понял алгоритм военкомата!!!!)))))


--------------------
А всё таки прав был Кутузов: что бы спасти Россию надо сжечь Москву!!!
Перейти в начало страницы
 
+
т158ав_BLONDY
сообщение 29.4.2010, 12:44
Сообщение #39


Группа: Активный участник
Сообщений: 3848
Спасибо: 973

Авто: Honda Prelude // Bentley Continental GT //S.Escudo



girlhospital.gif


--------------------


30.01.2007 г.

Берегите себя!
Перейти в начало страницы
 
+
SWETLANA :)
сообщение 29.4.2010, 12:47
Сообщение #40


Группа: Участник
Сообщений: 101
Спасибо: 144




Цитата(Олег 1 @ 29.4.2010, 11:42) *
помню, при отборе в армию что то подобное решал в военкомате...., кто не решил, того забрили, кто решил, остались блондинками)))) я понял алгоритм военкомата!!!!)))))







пропустил букву "С" остались С блондинками




--------------------
О чем ты думаешь? – Прекрати молчать!
Перейти в начало страницы
 
+
никА
сообщение 29.4.2010, 12:51
Сообщение #41


Группа: Активный участник
Сообщений: 10075
Спасибо: 5815




Олег1, блин, мне б твои проблемы... 


--------------------
Спасибо! — Гидр
Перейти в начало страницы
 
+
Гидр
сообщение 29.4.2010, 14:25
Сообщение #42


Группа: Активный участник
Сообщений: 22292
Спасибо: 18361




Вообще-то я на физмате учился, так что читер я smile.gif

Если честно, то 90% я уже не помню. Это вам не тройные интегралы по закнутому контуру smile.gif


--------------------
Разница других исполнителей, которые пытались перепеть эту песню, в том, что они поют как будто идут на войну, а Цой - будто вернулся оттуда.
Спасибо! — Sofya
Перейти в начало страницы
 
+
STARGAZER
сообщение 29.4.2010, 15:36
Сообщение #43


Группа: Активный участник
Сообщений: 6236
Спасибо: 6138

Авто: Toyota Tacoma 4.0 2007 Access cab



А я блины люблю, со сгущёнкой!


--------------------
Спасибо! — Гидр
Перейти в начало страницы
 
+
KaRaPuZ
сообщение 29.4.2010, 15:40
Сообщение #44


Группа: Активный участник
Сообщений: 3114
Спасибо: 821




Цитата(SWETLANA :) @ 29.4.2010, 13:28) *
144



Рецепт решения в студию rolleyes.gif Мои 2 варианты оказались неверны rolleyes.gif


--------------------
Перейти в начало страницы
 
+
voll
сообщение 29.4.2010, 16:15
Сообщение #45


Группа: Активный участник
Сообщений: 250
Спасибо: 135




(9+7)*9=144  
Перейти в начало страницы
 
+
Олег 1
сообщение 29.4.2010, 17:21
Сообщение #46


Группа: Активный участник
Сообщений: 5871
Спасибо: 3504




Цитата(никА @ 29.4.2010, 11:51) *
Олег1, блин, мне б твои проблемы...



ага...., завидуйте!!!я щас еще чо нить придумаю!!!!


--------------------
А всё таки прав был Кутузов: что бы спасти Россию надо сжечь Москву!!!
Перейти в начало страницы
 
+
Polosatiy_MooH
сообщение 29.4.2010, 21:22
Сообщение #47


Группа: Активный участник
Сообщений: 1219
Спасибо: 482




показываю как действует студент МЭИ в таких случаях =) берем пакет Mathcad и имеем правильный до 17 знаков ответ =)

я не попадаю в 70 процентов? =)

Сообщение отредактировал Polosatiy_MooH - 29.4.2010, 21:44
Эскизы прикрепленных изображений
Прикрепленное изображение

 


--------------------
Кризис бродит по европе, а у нас всё как нельзя лучше.
Перейти в начало страницы
 
+
exPloZive
сообщение 29.4.2010, 22:00
Сообщение #48


Группа: Активный участник
Сообщений: 3523
Спасибо: 1425

Авто: MARK 2 JZX110 IR-S// Kawasaki SuperSherpa KL250



Polosatiy_MooH, фишка-то не в том, чтоб его на ПК решить,а своими извилинами.

Сам студентом был, мучался со "всякими Гауссами" и матрицами больших порядков. И моё счастье было бесгранично, когда я сам допёр как подобную хрень в Экселе решать smile.gif
Спасибо! — Polosatiy_MooH
Перейти в начало страницы
 
+
Гидр
сообщение 29.4.2010, 22:42
Сообщение #49


Группа: Активный участник
Сообщений: 22292
Спасибо: 18361




Polosatiy_MooH, коллега, вот честно - никогда не пользовался Маткадом и не умею этого smile.gif

Кстати, всё-таки ответ неточный. Корень из 5-то - число иррациональное, так что... happy.gif Народ всё-таки привык, смотрю, финансы в Экселе фигачить, где практическая точность выше крыши, но тут материя другая...


--------------------
Разница других исполнителей, которые пытались перепеть эту песню, в том, что они поют как будто идут на войну, а Цой - будто вернулся оттуда.
Спасибо! — exPloZive
Перейти в начало страницы
 
+
Polosatiy_MooH
сообщение 29.4.2010, 22:55
Сообщение #50


Группа: Активный участник
Сообщений: 1219
Спасибо: 482




пришлось научиться, иначе нихрена бы не успевал сдавать типовые расчеты. 

ну, я думаю точности 17 значащих цифр будет достаточно для любых расчетов, даже в области нано-технологий(хотя...) happy.gif



--------------------
Кризис бродит по европе, а у нас всё как нельзя лучше.
Перейти в начало страницы
 
+
exPloZive
сообщение 30.4.2010, 10:51
Сообщение #51


Группа: Активный участник
Сообщений: 3523
Спасибо: 1425

Авто: MARK 2 JZX110 IR-S// Kawasaki SuperSherpa KL250



Народ, и всё таки, на скока я помню в Итоге должно получиться КРАСИВЫЙ ответ, т.е. 1=1

Или я не прав? blink.gif
Перейти в начало страницы
 
+
Олег 1
сообщение 30.4.2010, 12:54
Сообщение #52


Группа: Активный участник
Сообщений: 5871
Спасибо: 3504




ееех.... если бы там вместа плюса стайало "умноЫть" то нам, сельским интиллиХентам можна была бы сразу записать себя в 30% умных....., но там стоит +, а это большой минус....., надо в этом случае гАлавой думать....
хотя заметтье, столько улыбок этот процесс вызвал, все за листочки схватились, кто не знал что на листочке писать, схватились за голову.
кто то стал думать, чем же он в школе занимался))))

Не, ну как классно мы втроем на Гидра напали, нашли же непонятный для других ход мыслей))))))
Ладно, щас завожу новую флудоветку...., оторвемси)))


--------------------
А всё таки прав был Кутузов: что бы спасти Россию надо сжечь Москву!!!
Перейти в начало страницы
 
+
никА
сообщение 30.4.2010, 13:02
Сообщение #53


Группа: Активный участник
Сообщений: 10075
Спасибо: 5815




Цитата(Олег 1 @ 29.4.2010, 17:21) *
ага...., завидуйте!!!я щас еще чо нить придумаю!!!!

В твоих способностях придумать какую-нибудь подобную бяку я ни чуть не сомневаюсь smile.gif


--------------------
Перейти в начало страницы
 
+

3 страниц V   1 2 3 >
Быстрый ответОтветить в данную темуНачать новую тему
2 чел. читают эту тему (гостей: 2, скрытых пользователей: 0)
Пользователей: 0

 



RSS Текстовая версия Сейчас: 19.5.2026, 20:58